Box-Cox transformation
Box-cox transformation is a generalized power transformation method proposed by Box and Cox in 1964. It is a kind of data transformation commonly used in statistical modeling for cases where continuous quantities do not satisfy normal distribution
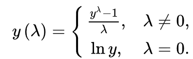
The general form of the Box-Cox transformation is:

For example, a Box-Cox transformation is performed on the "SalePrice" in the house price data
A |
|
1 |
=T("D://house_prices_train.csv") |
2 |
0.5 |
3 |
=A1.derive(if(A2==0,ln(SalePrice),(power(SalePrice,A2)-1)/A2):Box_Cox_SalePrice) |
A2 Input transformation parameter λ
A3 Transform the SalePrice
SPL Official Website 👉 https://www.esproc.com
SPL Feedback and Help 👉 https://www.reddit.com/r/esProcSPL
SPL Learning Material 👉 https://c.esproc.com
SPL Source Code and Package 👉 https://github.com/SPLWare/esProc
Discord 👉 https://discord.gg/sxd59A8F2W
Youtube 👉 https://www.youtube.com/@esProc_SPL