Matrix inversion
For AX=Y, if the inverse matrix of A exists, the system of equations can be solved by inverse method

SPL code:
A |
|
1 |
[[1,2],[2,3]] |
2 |
[8,13] |
3 |
=inverse(A1) |
4 |
=mul(A3,A2) |
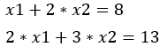
A1 Input the coefficient matrix
A2 Input Y
A3 Inverse A1
A4 Multiply the A3 and A2 matrices, return
SPL Official Website 👉 https://www.esproc.com
SPL Feedback and Help 👉 https://www.reddit.com/r/esProcSPL
SPL Learning Material 👉 https://c.esproc.com
SPL Source Code and Package 👉 https://github.com/SPLWare/esProc
Discord 👉 https://discord.gg/sxd59A8F2W
Youtube 👉 https://www.youtube.com/@esProc_SPL